Hydro Booster Kit For F-series and Broncos

$1,712.00



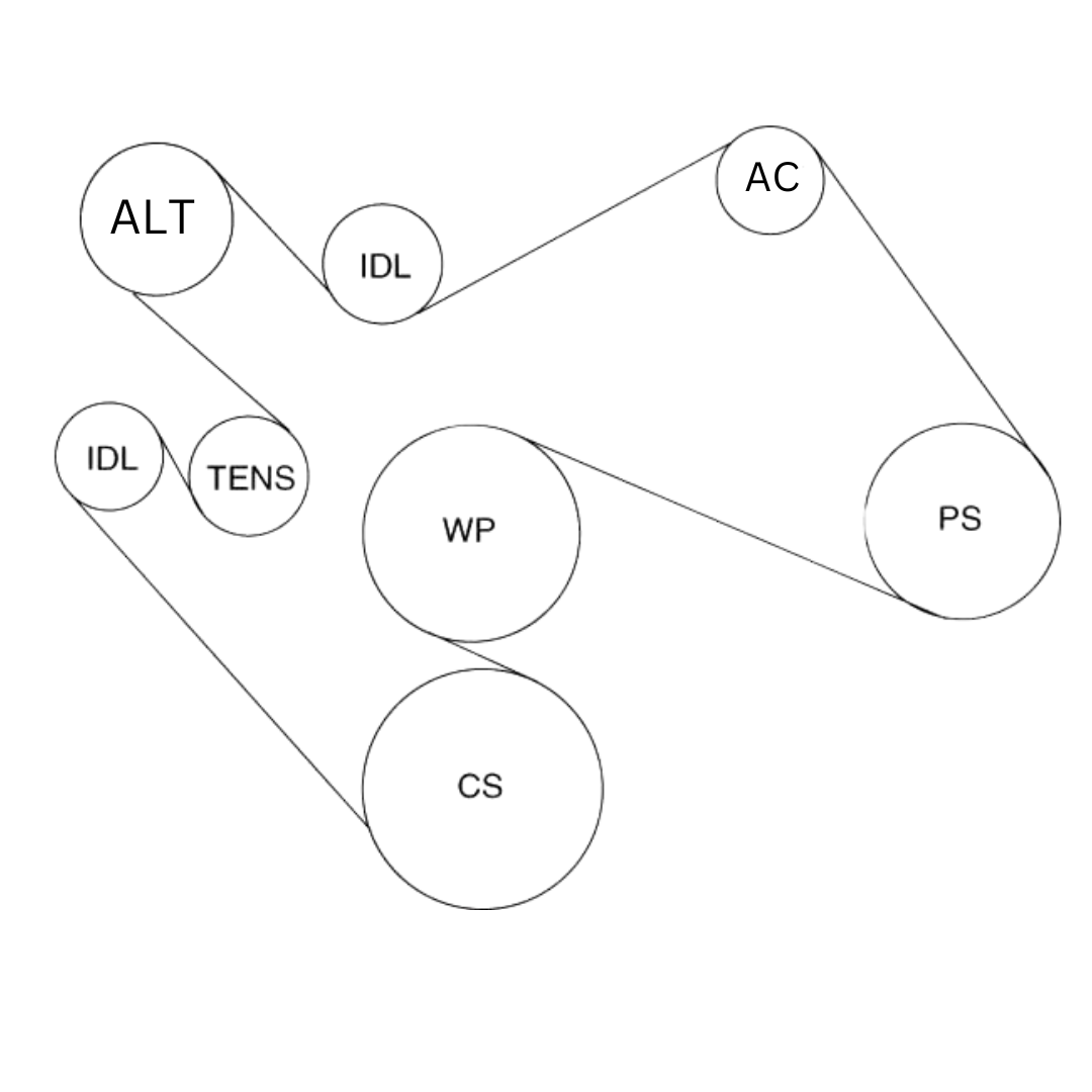
ENGINE APPLICATION
POWER STEERING PUMP
ELECTRIC VACUUM PUMP KIT





We will ship as fast as we can. Up to 1 week ship time. 

PLEASE READ THE WHOLE DESCRIPTION AND INSTRUCTIONS BEFORE ADDING TO CART

NOTE-PLEASE INFORM US IF YOUR STEERING BOX HAS A FOUR BOLT CAP SO WE CAN SEND YOU THE PROPER FITTINGS. LATE 1997 TYPICALY CAME WITH THESE STEERING BOXES

Quick reminder: This kit will not fix underlying brake issues.




Click the link below for Instructions:

HYDRO BOOST INSTRUCTIONS:


POWER STEERING SYSTEM VACUUM BLEEDING PROCEDURE:

Electric Vacuum Pump Kit Instructions:




Seeking the ultimate brake enhancement for your 1989-1997 Ford F-Series Truck? Look no further than OBS Solutions Hydroboost Kit - the definitive solution to elevate your driving experience.

No more trying to find old, used or obsolete F-Superduty parts!

What's Hydroboost?

OBS Solutions Hydroboost Kit replaces your stock vacuum assist brake booster with a hydroboost unit that utilizes power steering hydraulic pressure instead of engine vacuum for braking assist. This provides a tremendous increase in braking power, requires less input from the driver and a much better driving experience, especially when towing. 


This kit seamlessly integrate with your stock master cylinder and power steering pump. It also allows the use of your original stock brake pedal and firewall mounting provisions. Literally “Bolt On”.


Those equipped with Super Duty axles boasting rear disk brakes, we recommend the application of a 2005 6.0 master cylinder for optimal performance.

Kit Options:

1987–1997 Ford Truck Hydroboost Braking System Kit

What’s Included in Each Kit:

  • (2) pressure lines/return line with clamps (UNLESS YOU SELECT ENGINE SWAP)

  • Fittings compatible with your stock power steering pump and steering box/super duty power steering pump

  • Brass Y-fitting for clean return line integration (UNLESS YOU SELECT YES, ADD SUPERDUTY POWER STEERING PUMP)

Upgrade Options Available:

🔧 Super Duty Power Steering Pump Upgrade
Swap in a Super Duty power steering pump with an additional return port—eliminating the need for the brass Y-fitting. Ideal for clean installs and increased fluid capacity.

🛠️ Electric Vacuum Pump Kit for 7.3L Diesel Engines
Looking to eliminate that bulky vacuum booster on your 7.3L engine that's costing you horsepower and crowding your engine bay? We've got the perfect solution—our all-in-one Electric Vacuum Pump kit is just what you need.

Electric Vacuum Pump Kit Includes:

  • New belt tensioner

  • Serpentine belt

  • Electric vacuum pump

  • Custom vacuum pump mounting bracket 

 

SEE INTRUCTIONS AT THE TOP OF THE PAGE

THIS IS INTENTED FOR OFFROAD USE ONLY 

Recently Viewed Products